Markov Process
$\mathbf{Definition.}$ Markov State
State $S_t$가 다음과 같은 조건을 만족할 경우, $S_t$가 Markov property를 만족한다고 한다. 또는 $S_t$를 Markov state라고 부른다.
$$
\begin{align*}
P[S_{t+1} | S_t] = P[S_{t+1} | S_1, \cdots, S_t]
\end{align*}
$$
즉, 어떤 마르코프 상태 $S_t = s$와 다음 상태 $S_{t+1} = s^\prime$라면, 다음과 같은 확률 값이 정의될 수 있다.
$$
\begin{align*}
\mathcal{P}_{ss^\prime} = P[S_{t+1} = s^\prime | S_t = s]
\end{align*}
$$
이 확률은 상태 전이 확률, state transition probability라고 한다. 만약 상태 공간이 유한하다면, 모든 state $s$에서 다음 상태 $s^\prime$으로 가는 상태 전이 확률을 모아 다음과 같은 행렬을 구성할 수 있다.
$$
\mathcal{P}= \left[\begin{array}{ccc}
\mathcal{P}_{11} & \ldots & \mathcal{P}_{1 n} \\
\vdots & & \\
\mathcal{P}_{n 1} & \ldots & \mathcal{P}_{n n}
\end{array}\right]
$$
각 행 element의 합은 $1$인 것을 확인할 수 있다. 이와 같은 행렬을 상태 전이 행렬, state transition matrix라고 한다.
$\mathbf{Definition.}$ Markov Process
Markov process, 또는 Markov Chain는 튜플 $\left\langle \mathcal{S}, \mathcal{P} \right\rangle$의 형태로 표현될 수 있는 random process로, 각 원소들은 다음 조건을 만족한다:
- $\mathcal{S}$는 finite state space
- $\mathcal{P}$는 transition probability matrix
$$
\begin{align*}
\mathcal{P}_{ss^\prime} = P[S_{t+1} = s^\prime | S_t = s]
\end{align*}
$$
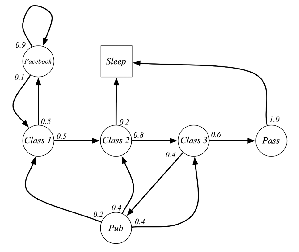
Markov process는 노드로 대응되는 state와 간선으로 대응되는 상태 전이 확률 값으로 이루어진 그래프 형태로 주로 나타낸다.

이 경우 state transition matrix $\mathcal{P}$는 다음과 같다.

위의 확률 과정은 sleep state에 도달하면 종료되는 것을 볼 수 있다. 이처럼 특정 state에 도달하면 process가 종료될 경우, 해당 state를 terminal state로 명칭한다. 또한 그래프에서 주로 원 대신 사각형의 노드로 이 state를 표현한다. 강화학습 task도 이 terminal state 존재 유무에 따라 2가지 종류로 구분된다.
Episodic Tasks: terminal state가 존재
Continuous Tasks: terminal state가 존재하지 않음
따라서 위의 예시는 episodic task로 분류된다. 각 state의 시작부터 마지막 종료 시점의 state까지의 시퀀스를 episode로 정의한다. 예를 들면, Class 1 - Class 2 - Class 3 - Pass - Sleep 가 하나의 예시다.
강화학습 알고리즘의 디자인은 terminal state 유무에 따라서도 영향을 받는다. 따라서 위의 정의는 반드시 기억해두어야 한다.
Markov Reward Process
앞서 설명한 Markov process을 강화학습 문제에서 다루기 위해선, 반드시 agent에게 주어지는 reward가 필요하다. 우리는 이를 위해 Markov process를 Markov reward process로 확장한다.
$\mathbf{Definition.}$ Markov Reward Process.
A Markov Reward Process는 $$\left\langle \mathcal{S}, \mathcal{P}, \mathcal{R}, \gamma \right\rangle$$의 튜플로 나타내며, 각 element는 다음과 같은 특성을 갖는다:
- $\mathcal{S}$는 finite state space
- $\mathcal{P}$는 transition probability matrix
$$
\begin{align*}
\mathcal{P}_{ss^\prime} = P[S_{t+1} = s^\prime | S_t = s]
\end{align*}
$$ - $\mathcal{R}$는 reward 함수로, 다음과 같이 정의된다.
$$
\begin{align*}
\mathcal{R}_{s} = \mathbb{E} [R_{t+1} | S_t = s]
\end{align*}
$$ - $\gamma \in [0, 1]$는 discount factor로 불린다.
Return and Value Function
RL 에이전트의 궁극적인 목표는 cumulative reward, 즉 episode동안 받는 reward를 최대화하는 것을 목적으로 한다. Cumulative reward를 계산하기 위해, 미래의 reward는 discount factor라고 불리우는 $\gamma \in [0, 1]$가 가중되어 reward의 가중합 (weighted sum) 형태로 나타내게 되는데, 이를 주로 return이라고 부른다.
$\mathbf{Definition.}$ Return
Return $G_t$ is the total discounted reward from timestep $t$:
$$
\begin{align*}
G_t = R_{t + 1} + \gamma R_{t+2} + \cdots = \sum_{T = 0}^\infty \gamma^T R_{t + T + 1}
\end{align*}
$$
하지만 reward function이 deterministic하지 않거나, stochastic environment 등의 조건에서는 똑같은 action을 취하더라도 매 episode마다 return이 달라질 수 있다. 그렇기에 강화학습에서는 추가적으로 value function을 정의하는데, 특정 state에서의 return의 기댓값으로 정의한다.
$\mathbf{Definition.}$ Value function
The value function $v(s)$ is defined by the expectation of return at the current state
$$
\begin{align*}
V(s) = \mathbb{E}[G_t \; | \; S_t = s]
\end{align*}
$$
Why a discount factor is needed?
Return과 value에서 discount factor가 특별히 필요한 이유는 다음과 같은 것들이 있다.
- Mathematically convenient tractable
- ex. avoid divergence of sum
- preference for immediate reward
- etc.
Markov Reward Process in graph
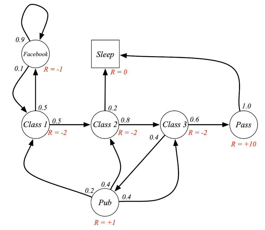
Markov Process의 그래프 $\mathbf{Fig\ 1}$는 다음과 같이 Markov Reward Process로 확장될 수 있다.

초기 상태 $S_1 = C_1$, discount factor $\gamma = \frac{1}{2}$에 대해 각 state에 대한 return은 다음과 같이 계산된다.
$$
\begin{array}{l|lll}
\text { C1 C2 C3 Pass Sleep } & v_1=-2-2 * \frac{1}{2}-2 * \frac{1}{4}+10 * \frac{1}{8} & = & -2.25 \\
\text { C1 FB FB C1 C2 Sleep } & v_1=-2-1 * \frac{1}{2}-1 * \frac{1}{4}-2 * \frac{1}{8}-2 * \frac{1}{16} & = & -3.125 \\
\text { C1 C2 C3 Pub C2 C3 Pass Sleep } & v_1=-2-2 * \frac{1}{2}-2 * \frac{1}{4}+1 * \frac{1}{8}-2 * \frac{1}{16} \cdots & = & -3.41 \\
\text { C1 FB FB C1 C2 C3 Pub C1 } \ldots & v_1=-2-1 * \frac{1}{2}-1 * \frac{1}{4}-2 * \frac{1}{8}-2 * \frac{1}{16} \cdots & = & -3.20
\end{array}
$$
Bellman Equation
강화학습에서 사용되는 Value function의 가장 기본적이고 필수적인 성질은, value function이 특정한 점화식을 만족한다는 것이다. 벨만 방정식 Bellman equation에 따라 value function은 바로 다음 시점의 reward $R_{t + 1}$와 다음 시점 상태의 discounted value function $\gamma \cdot V (S_{t+1})$, 2가지 파트로 나뉘어질 수 있다.
$$
\begin{aligned}
V(s) & =\mathbb{E}\left[G_t \mid S_t=s\right] \\
& =\mathbb{E}\left[R_{t+1}+\gamma \cdot R_{t+2}+\gamma^2 \cdot R_{t+3}+\ldots \mid S_t=s\right] \\
& =\mathbb{E}\left[R_{t+1}+\gamma \cdot \left(R_{t+2}+\gamma R_{t+3}+\ldots\right) \mid S_t=s\right] \\
& =\mathbb{E}\left[R_{t+1}+\gamma \cdot G_{t+1} \mid S_t=s\right] \\
& =\mathbb{E}\left[R_{t+1}+\gamma \cdot V\left(S_{t+1}\right) \mid S_t=s\right]
\end{aligned}
$$
또는 다음과 같이 행렬 형태로 표현될 수 있다.
$$
\begin{align*}
V = \mathcal{R} + \gamma \mathcal{P} V
\end{align*}
$$
여기서 $V$는 각 state의 value 값으로 이루어직 열 벡터이다.
$$
\begin{align*}
\left[\begin{array}{c}
v(1) \\
\vdots \\
v(n)
\end{array}\right]=\left[\begin{array}{c}
\mathcal{R}_1 \\
\vdots \\
\mathcal{R}_n
\end{array}\right]+\gamma\left[\begin{array}{ccc}
\mathcal{P}_{11} & \ldots & \mathcal{P}_{1 n} \\
\vdots & & \\
\mathcal{P}_{11} & \ldots & \mathcal{P}_{n n}
\end{array}\right]\left[\begin{array}{c}
v(1) \\
\vdots \\
v(n)
\end{array}\right]
\end{align*}
$$
수치적으로, 역행렬 방식을 통해 $v = (I - \gamma \mathcal{P})^{-1} \mathcal{R}$로 얻어질 수 있다. 그러나 일반적으로 역행렬 방식은 매우 비효율적으로, 계산 복잡도는 $n$ 상태에 대해 $O(n^3)$이다. 그렇기 때문에, 앞으로 dynamic programming, Monte-Carlo evaluation, Temporal-Difference learning 등 value function을 계산하기 위한 다양한 수치 알고리즘을 살펴볼 것이다.
RL에서는 벨만 방정식을 주로 Backup diagram으로 시각화하여 표현한다.

이 diagram은 다음 식과 일치한다.
$$
\begin{aligned}
v(s) = \mathbb{E}[R_{t+1}] + \gamma \sum_{s^{\prime} \in \mathcal{S}} \mathcal{P}_{s s^{\prime}} v\left(s^{\prime}\right)
\end{aligned}
$$
Backup diagram이라고 불리는 이유는, 이 diagram이 미래 state에서 현재 state의 value function으로 정보를 전송하는 업데이트 방식을 도식화하기 때문이다. 즉 미래 상태에서 현재 상태로 거꾸로 진행되는 backup operation을 보여주는 diagram이기 때문이다.
Markov Decision Process
이제 agent는 Markov reward process의 environment를 기반으로 행동 (action)을 취할 수 있다. Markov decision process (MDP)는 Markov reward process에 action의 개념을 추가한 것이다.
$\mathbf{Definition.}$ Markov Decision Process
A Markov Decision Process는 $\left\langle \mathcal{S}, \mathcal{A}, \mathcal{P}, \mathcal{R}, \gamma \right\rangle$의 튜플로 나타내며, 각 element는 다음과 같은 특성을 갖는다:
- $\mathcal{S}$ is a (finite) state space
- $\mathcal{A}$ is a (finite) action space
- $\mathcal{P}$ is a state transition probability matrix
$$
\begin{align*}
\mathcal{P}_{ss^\prime}^a = P[S_{t+1} = s^\prime | S_t = s, A_t = a]
\end{align*}
$$ - $\mathcal{R}$ is a reward function
$$
\begin{align*}
\mathcal{R}_{s}^a = \mathbb{E} [R_{t+1} | S_t = s, A_t = a]
\end{align*}
$$ - $\gamma \in [0, 1]$ is a discount factor.
유한 공간을 가정하는 이유는 수학적으로 간편하기 때문인데, 적분 기호 $\int$와 확률 밀도가 합 기호 $\Sigma$와 확률로 단순화될 수 있기 때문이다. 물론 연속 공간으로 동일하게 확장될 수 있다.
Policy
그렇다면 agent는 어떻게 행동을 결정할까? 강화학습에서는, 정책 (policy)가 특정 상태에서 어떤 행동을 해야하는지 정의한다.
$\mathbf{Definition.}$ Policy
A policy $\pi$ is a distribution over actions given states,
$$
\begin{aligned}
\pi(a | s) = P(A_t = a | S_t = s)
\end{aligned}
$$
Agent는 행동을 결정할 때 오직 policy만을 따르며, MDP의 policy는 오직 현재 state에만 의존한다.
$$
\begin{aligned}
A_t \sim \pi (\cdot | S_t)
\end{aligned}
$$
따라서 주어진 MDP $\mathcal{M} = \left\langle \mathcal{S}, \mathcal{A}, \mathcal{P}, \mathcal{R}, \gamma \right\rangle$와 policy $\pi$는 모두 Markov property를 갖는다.
- $S_1, S_2, \cdots$ is a Markov process $$\left\langle \mathcal{S}, \mathcal{P}^\pi \right\rangle $$ <br>
- $S_1, R_1, S_2, R_2, \cdots$ is a Markov reward process $$\left\langle \mathcal{S}, \mathcal{P}^\pi, \mathcal{R}^\pi, \gamma \right\rangle$$ where
$$
\begin{aligned}
\mathcal{P}_{s, s^\prime}^\pi & = \sum_{a \in \mathcal{A}} \pi (a | s) \mathcal{P}_{ss^\prime}^a \\
\mathcal{R}_{s}^\pi & = \sum_{a \in \mathcal{A}} \pi (a | s) \mathcal{R}_{s}^a
\end{aligned}
$$
State and Action-value functions
MDP에서 시점 $t+1$의 state $S_{t+1}$는 시점 $t$의 state $S_t$와 그에 따른 action $A_t$에 따라 결정되므로, 2가지의 value function이 정의될 수 있다.
$\mathbf{Definition.}$ State value function
The state value function $v_\pi (s)$ of an MDP is the expected return starting from state $s$, and then follwing policy $\pi$:
$$
\begin{aligned}
v_\pi (s) = \mathbb{E}_\pi [G_t | S_t = s]
\end{aligned}
$$
$\mathbf{Definition.}$ State value function
The action-value function $q_\pi (s, a)$ is the value of taking action $a$ in state $s$; the expected return starting from state $s$, taking action $a$, and then follwing policy $\pi$:
$$
\begin{aligned}
q_\pi (s, a) = \mathbb{E}_\pi [G_t | S_t = s, A_t = a]
\end{aligned}
$$
Optimal Value function and Policy
이때 모든 policy에 대해 최댓값을 갖는 value function을 최적의 value function으로 정의한다. 즉 최적의 value function은 agent가 MDP에서 만들어낼 수 있는 가장 최선의 결과를 나타낸다.
$\mathbf{Definition.}$ Optimal state-value function
The optimal state-value function $v_\star (s)$ is the maximum value function over all policies:
$$
\begin{aligned}
v_\star (s) = \underset{\pi \in \mathcal{\Pi}}{\text{max }} v_\pi (s)
\end{aligned}
$$
$\mathbf{Definition.}$ Optimal action-value function
The optimal action-value function $q_\star (s, a)$ is the maximum action-value function over all policies:
$$
\begin{aligned}
q_\star (s, a) = \underset{\pi \in \mathcal{\Pi}}{\text{max }} q_\pi (s, a)
\end{aligned}
$$
따라서 최적의 policy도 자연스럽게 value function을 최대화하는 정책으로 정의될 수 있다. 또한 value function을 바탕으로 여러 policy들을 비교할 수 있게 되는데, 다음과 같은 partial ordering을 정의한다.
$$
\begin{aligned}
\pi \geq \pi^\prime \text{ if } v_\pi (s) \geq v_{\pi^\prime} (s) \; \forall s
\end{aligned}
$$
물론 수학적으로 최적의 value function과 policy의 존재성과 유일성이 증명되어 있으므로, 존재 여부를 걱정하지 않아도 된다.
$\mathbf{Theorem.}$ For any Markov Decision Process, <br>
- There exists an optimal policy $\pi_\star$ that is better than or equal to all other polices, i.e., $\pi_\star \geq \pi \; \forall \pi$.
- All optimal policies achieve the optimal value function, i.e., $v_{\pi_\star} (s) = v_\star (s)$.
- All optimal policies achieve the optimal action-value function, i.e., $q_{\pi_\star} (s, a) = q_\star (s, a)$.
And, an optimal policy can be found by maximising over $q_\star(s, a)$,
$$
\begin{aligned}
\pi_*(a \mid s)= \begin{cases}1 & \text { if } a=\underset{a \in \mathcal{A}}{\operatorname{argmax}} q_*(s, a) \\ 0 & \text { otherwise }\end{cases}
\end{aligned}
$$
즉 MDP에 대해서 deterministic optimal policy가 항상 존재한다.
Bellman Expectation Equations
앞서 보았듯이, value function은 Bellman Equation이라고 불리우는 점화식의 형태로 표현될 수 있었다. State-value 및 action-value function 역시 immediate reward $R_{t+1}$와 discounted value of successor state로 나뉠 수 있다.
$$
\begin{aligned}
v_\pi (s) & = \mathbb{E}_\pi [R_{t+1} + \gamma v_\pi (S_{t+1}) | S_t = s] \\
q_\pi (s, a) & = \mathbb{E}_\pi [R_{t+1} + \gamma q_\pi (S_{t+1}, A_{t+1}) | S_t = s, A_t = a]
\end{aligned}
$$
이때 $v_\pi$의 정의에 따라 다음과 같이 정리될 수 있다. 이를 Bellman expectation equation이라고 한다.
$$
\begin{aligned}
v_\pi (s) & = \mathbb{E}_\pi [G_t | S_t = s] \\
& = \int x \cdot P(G_t = x | S_t = s) \cdot dx \\
& = \int x \cdot \frac{P(G_t = x \cap S_t = s)}{P(S_t = s)} \cdot dx \\
& = \int \int_{\mathcal{A}} x \cdot \frac{P(G_t = x \cap S_t = s \cap A_t = a)}{P(S_t = s)} \cdot da \cdot dx \\
& = \int \int_{\mathcal{A}} x \cdot \frac{P(G_t = x \cap S_t = s \cap A_t = a)}{P(S_t = s \cap A_t = a)} \cdot \frac{P(S_t = s \cap A_t = a)}{P(S_t = s)} \cdot da \cdot dx \\
& = \int \int_{\mathcal{A}} x \cdot P(G_t = x | S_t = s, A_t = a) \cdot \pi(a | s) \cdot da \cdot dx \\
& = \sum_{a \in \mathcal{A}} \pi(a | s) \cdot \mathbb{E}_\pi [G_t | S_t = s, A_t = a] = \sum_{a \in \mathcal{A}} \pi(a | s) \cdot q_\pi (s, a).
\end{aligned}
$$
마지막 줄은 action space가 유한하다는 가정 하에 도출된 것이다. MRP의 Bellman equation처럼 backup diagram으로 나타낼 수 있다.

동일하게 $q_\pi$의 경우
$$
\begin{aligned}
q_\pi (s) & = \mathbb{E}_\pi [G_t | S_t = s, A_t = a] \\
& = \mathbb{E}_\pi [R_{t+1} | S_t = s, A_t = a] + \gamma \mathbb{E}_\pi [G_{t + 1} | S_t = s, A_t = a] \\
& = \mathcal{R}_s^a + \gamma \int x \cdot P(G_{t+1} = x | S_t = s, A_t = a) \cdot dx \\
& = \mathcal{R}_s^a + \gamma \int x \cdot P(G_{t+1} = x | S_t = s, A_t = a) \cdot dx \\
& = \mathcal{R}_s^a + \gamma \int x \cdot \frac{P(G_{t+1} = x \cap S_t = s, A_t = a)}{P(S_t = s, A_t = a)} \cdot dx \\
& = \mathcal{R}_s^a + \gamma \int \int_\mathcal{S} x \cdot \frac{P(G_{t+1} = x \cap S_t = s, A_t = a \cap S_{t+1} = s^\prime)}{P(S_t = s, A_t = a)} \cdot ds^\prime \cdot dx \\
& = \mathcal{R}_s^a + \gamma \int \int_\mathcal{S} x \cdot \frac{P(G_{t+1} = x \cap S_t = s, A_t = a, S_{t+1} = s^\prime)}{P(S_t = s, A_t = a, S_{t+1} = s^\prime)} \cdot P(S_{t+1} = s^\prime | S_t = s, A_t = a) \cdot ds^\prime \cdot dx \\
& = \mathcal{R}_s^a + \gamma \int \int_\mathcal{S} x \cdot \frac{P(G_{t+1} = x \cap S_t = s, A_t = a, S_{t+1} = s^\prime)}{P(S_t = s, A_t = a, S_{t+1} = s^\prime)} \cdot P(S_{t+1} = s^\prime | S_t = s, A_t = a) \cdot ds^\prime \cdot dx \\
& = \mathcal{R}_s^a + \gamma \int \int_\mathcal{S} x \cdot P(G_{t+1} = x | S_t = s, A_t = a, S_{t+1} = s^\prime) \cdot P(S_{t+1} = s^\prime | S_t = s, A_t = a) \cdot ds^\prime \cdot dx \\
& = \mathcal{R}_s^a + \gamma \sum_{s^\prime \in \mathcal{S}} \mathcal{P}_{ss^\prime}^a \cdot \mathbb{E}_\pi [G_{t+1} | S_{t+1} = s^\prime] = \mathcal{R}_s^a + \gamma \sum_{s^\prime \in \mathcal{S}} \mathcal{P}_{ss^\prime}^a \cdot v_\pi (s^\prime).
\end{aligned}
$$
역시 마지막 줄은 state space가 유한하다는 가정과 Markov 성질에 의해 도출되었다.

두 방정식은 이중 점화식이기 때문에, 연립방정식을 통해 더 간단한 형태로 정리할 수 있을 것이다. 대입을 통해 식을 정리하면 다음과 같다.
$$
\begin{aligned}
v_\pi(s) & =\sum_{a \in \mathcal{A}} \pi(a \mid s)\left(\mathcal{R}_s^a+\gamma \sum_{s^{\prime} \in \mathcal{S}} \mathcal{P}_{s s^{\prime}}^a v_\pi\left(s^{\prime}\right)\right) \\
q_\pi(s, a) & =\mathcal{R}_s^a+\gamma \sum_{s^{\prime} \in \mathcal{S}} \mathcal{P}_{s s^{\prime}}^a \sum_{a^{\prime} \in \mathcal{A}} \pi\left(a^{\prime} \mid s^{\prime}\right) q_\pi\left(s^{\prime}, a^{\prime}\right)
\end{aligned}
$$

Bellman Optimality Equations
결국 MDP의 최종 목표는 value function을 최대화하는 최적의 policy $\pi_\star$를 찾는 것이다. 이때 $\pi_\star (a | s) = \underset{a \in \mathcal{A}}{\text{ arg max }} q_{\pi_\star} (s, a)$이므로, $v_{\pi_\star} (s) = \sum_{a \in \mathcal{A}} \pi_\star (a | s) q_{\pi_\star} (s, a)$에서 $v_{\pi_\star} (s) = \underset{a \in \mathcal{A}}{\text{max }} q_\star (s, a)$임은 자명하다. 따라서, 최종적으로 optimal value function들은 Bellman expectation equation에서와 같이 서로 점화식 형태로 연관이 되어 있는데, 이를 Bellman optimality equation이라고 한다.
$$
\begin{aligned}
v_\star (s) & = \underset{a \in \mathcal{A}}{\text{max }} q_\star (s, a) \\
q_\star (s, a) & = \mathcal{R}_s^a + \gamma \sum_{s^\prime \in \mathcal{S}} \mathcal{P}_{ss^\prime}^a v_\star (s^\prime)
\end{aligned}
$$

이때 대입을 통해 이중 점화식을 풀어주면 다음과 같은 관계가 도출된다.
$$
\begin{aligned}
v_\star (s) & = \underset{a \in \mathcal{A}}{\text{max }} [\mathcal{R}_s^a + \gamma \sum_{s^\prime \in \mathcal{S}} \mathcal{P}_{ss^\prime}^a v_\star (s^\prime)] \\
q_\star (s, a) & = \mathcal{R}_s^a + \gamma \sum_{s^\prime \in \mathcal{S}} \mathcal{P}_{ss^\prime}^a \underset{a^\prime \in \mathcal{A}}{\text{ max }} q_\star (s^\prime, a^\prime)
\end{aligned}
$$

Bellman Optimality equation은 비선형적이므로, 일반적으로 닫힌 형태의 해가 존재하지 않는다. 그렇기 때문에 dynamic programming (value iteration, policy iteration 등), Q-learning, SARSA 등 다양한 알고리즘을 통해 수치적 해를 얻게 된다. 이러한 알고리즘은 Bellman Optimality equation을 풀기 위해 고안된 것들로, Bellman equation을 기반으로 하므로 위의 방정식들을 잘 기억해두자. Bellman equation을 총정리하며 글을 마무리한다.

Reference
[1] Reinforcement Learning: An Introduction. Richard S. Sutton and Andrew G. Barto, The MIT Press.
[2] Introduction to Reinforcement Learning with David Silver
'AI > Reinforcement Learning' 카테고리의 다른 글
| [RL] Model-Free Control (0) | 2023.06.26 |
|---|---|
| [RL] Model-Free Prediction (0) | 2023.06.24 |
| [RL] Convergence of DP (0) | 2023.06.22 |
| [RL] Dynamic Programming (0) | 2023.06.21 |